مزایده کالاهای اموالی دانشکده- مانیتور الی جی - مانیتور ال جی- مانیتور - اسکنر و...

جزئیات آگهی

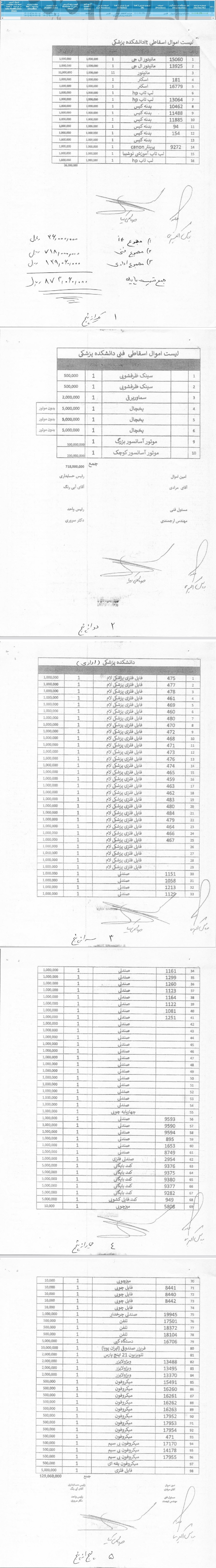
آگهی مزایده با عنوان کالاهای اموالی دانشکده- مانیتور الی جی - مانیتور ال جی- مانیتور - اسکنر و... و با کد هزاره 5919699 در تاریخ يكشنبه، 15 آبان 1401 در سایت ارتباط گستران هزاره ثبت شده است. این آگهی مربوط به استان فارس و در دسته بندی تجهیزات پزشکی، کامپیوتر و لپ تاپ، ماشین اداری، تجهیزات مخابرات، لوازم خانگی، آسانسور و بالابر صنعتی، لوازم اداری، اموال اسقاطی و مازاد انتشار یافته است

خواهشمند است جهت کسب اطلاعات دقیق و شرکت در مزایده، حتما به تصویر آگهی درج شده توسط مزایده گزار مراجعه نمایید
کد هزاره: 5919699
شرح آگهی:
شماره مزایده : 1001090129000006 / نام دستگاه مزایده گزار : دانشکده پزشکی شیراز / استان : فارس / شماره پارتی : 1101090129000006 / شرح پارتی : مزایده کالاهای اموالی دانشکده پزشکی شیراز / استان پارتی : فارس / گروه کالا : سایر کالاها / قیمت پایه ارزش ریالی : 873,060,000 / تاریخ انتشار : از1401/08/15-08:00 - تا1401/09/06-14:00 / مهلت ارسال پیشنهاد : از1401/08/15-08:00 - تا1401/09/06-14:00
- مانیتور الی جی - مانیتور ال جی- مانیتور - اسکنر- اسکنر- لپ تاپ hp- لپ تاپ hp- بدنه کیس - پرینتر canon- لپ تاپ آموزشی توشیبا - و...
شرایط آگهی:
اعلام نشده
برگزار کننده: دانشکده پزشکی شیراز
منطقه: استان فارس
تاريخ انتشار: 1401/08/15
مهلت دريافت: اعلام نشده
مهلت ارسال: اعلام نشده
تاريخ بازگشايی: اعلام نشده
نوبت اعلام: اعلام نشده
شماره آگهی: اعلام نشده
منبع: eauc.setadiran.ir
تلفن: اعلام نشده
فکس: اعلام نشده
ایمیل: اعلام نشده
وب سایت: اعلام نشده
آدرس: اعلام نشده
اسناد آگهی: سفارش اسناد
تصویر آگهی:
تصویر آگهی

جهت دسترسی به اطلاعات کامل آگهی، اطلاعات تماس، مشاهده جزئیات و تصویر آگهی وارد حساب کاربری خود شده و در صورتیکه هنوز عضو سایت نیستید، ثبت نام نمایید.