جزئیات آگهی

آگهی مناقصه با عنوان Supplying of 307 units of Furniture و با کد هزاره 1916114 در تاریخ شنبه، 7 اردیبهشت 1398 در سایت ارتباط گستران هزاره ثبت شده است. این آگهی مربوط به کشور بنگلادش و در دسته بندی تجهیزات قفسه بندی و انبار، تجهیز سالن های آمفی تئاتر، سینما، جلسات، مصنوعات چوبی و مبلمان اداری، تجهیزات مهندسی، اداری، آموزشی و ورزشی انتشار یافته است

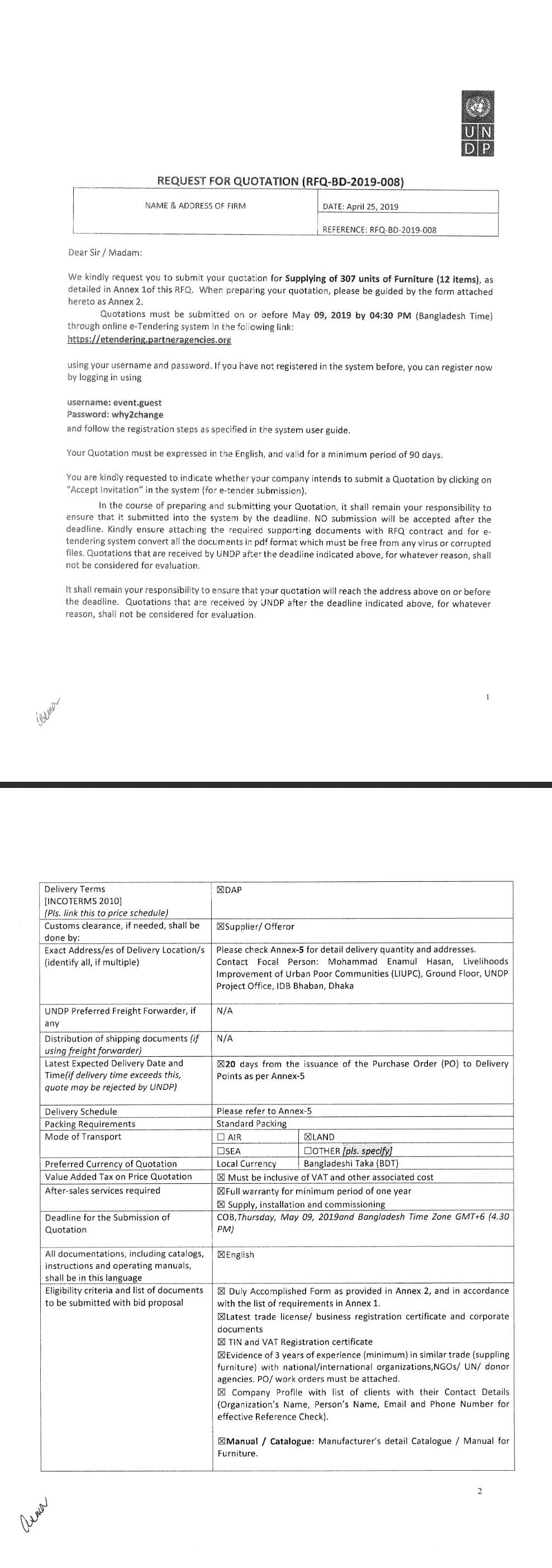
خواهشمند است جهت کسب اطلاعات دقیق و شرکت در مناقصه، حتما به تصویر آگهی درج شده توسط مناقصه گزار مراجعه نمایید
کد هزاره: 1916114
شرح آگهی:
Supplying of 307 units of Furniture (12 items) for Livelihoods Improvement of Urban Poor Communities Project (LIUPCP : Table , Drawer , IT Table , Conference Table , Book Shelf , Metal File Cabinet , Chair ,...
شرایط آگهی:
Quotations must be submitted on or before May 09, 2019 by 04:30 PM (Bangladesh Time)
برگزار کننده: UNDP Procurement - Bangladish
منطقه: کشور بنگلادش
تاريخ انتشار: 1398/02/07
مهلت دريافت: 1398/02/19
مهلت ارسال: 1398/02/19
تاريخ بازگشايی: اعلام نشده
نوبت اعلام: اول
شماره آگهی: 55143
منبع: UNDP Procurement - Bangladish
تلفن: اعلام نشده
فکس: اعلام نشده
ایمیل: اعلام نشده
وب سایت: اعلام نشده
آدرس: Refer to document
اسناد آگهی: دانلود اسناد
تصویر آگهی:
تصویر آگهی

جهت دسترسی به اطلاعات کامل آگهی، اطلاعات تماس، مشاهده جزئیات و تصویر آگهی وارد حساب کاربری خود شده و در صورتیکه هنوز عضو سایت نیستید، ثبت نام نمایید.