جزئیات آگهی

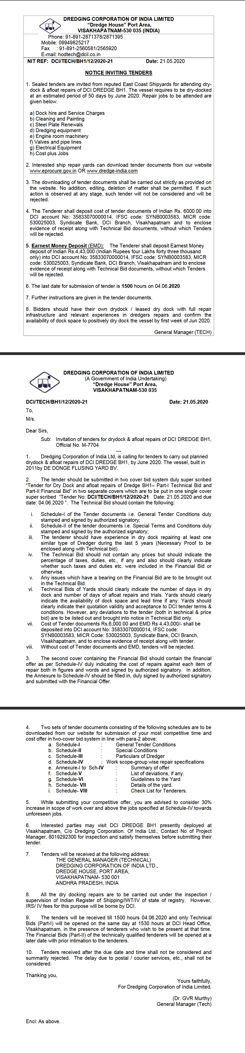
آگهی مناقصه با عنوان Dock hire and Service Chargesb)Cleaningand Paintingc) SteelPlateRenewal.... و با کد هزاره 2835933 در تاریخ شنبه، 3 خرداد 1399 در سایت ارتباط گستران هزاره ثبت شده است. این آگهی مربوط به کشور هند و در دسته بندی تامین نیروی انسانی، دیزل ژنراتور، خدمات دریایی و آبی، شیرآلات، لوله و اتصالات فولادی و چدنی، ساخت و نصب و تعمیرات صنایع فولاد، سایر مناقصه های برق، خدمات عمومی، تامین نیروی انسانی، طبخ، ایاب و ذهاب، ... انتشار یافته است

خواهشمند است جهت کسب اطلاعات دقیق و شرکت در مناقصه، حتما به تصویر آگهی درج شده توسط مناقصه گزار مراجعه نمایید
کد هزاره: 2835933
شرح آگهی:
Sealed tenders are invited from reputed East Coas tShipyards for attending dry-dock& afloat repairs of DCI DREDGEBH1. The vessel requires to be dry-dockedatan estimated period of50days a) Dock hire and Service Chargesb) Cleaning and Paintingc) steel Plate Renewalsd)Dredging equipmente)Engine room machinery f) Valves and pipe linesg)Electrical Equipmenth) Costplus Jobs byJune 020.Repair jobs to be attended aregiven below
شرایط آگهی:
Last Date of Sale of Tender Document 04/06/2020
Opening Date 04/06/2020
برگزار کننده: Dredging Corporation Of India Limited
منطقه: کشور هند
تاريخ انتشار: 1399/03/03
مهلت دريافت: اعلام نشده
مهلت ارسال: 1399/03/15
تاريخ بازگشايی: 1399/03/15
نوبت اعلام: اول
شماره آگهی: DCI/TECH/BH1/12/2020-21
منبع: Dredging Corporation Of India Limited
تلفن: اعلام نشده
فکس: اعلام نشده
ایمیل: اعلام نشده
وب سایت: اعلام نشده
آدرس: Refer to document
اسناد آگهی: سفارش اسناد
تصویر آگهی:
تصویر آگهی

جهت دسترسی به اطلاعات کامل آگهی، اطلاعات تماس، مشاهده جزئیات و تصویر آگهی وارد حساب کاربری خود شده و در صورتیکه هنوز عضو سایت نیستید، ثبت نام نمایید.